Federación Madrileña Ciclismo / Raúl de Pablos Plaza
Ante los constantes cambios meteorológicos, tanto deportistas como entrenadores, nos preguntamos cómo puede influir la distinta meteorología sobre el rendimiento. Para ello, hemos realizado un profundo análisis de la literatura científica.
El rendimiento en ciclismo está influenciado por diferentes variables, como pueden ser la condición física, las características de la carrera o la estrategia de equipo. Atendiendo especialmente a la condición física, observamos que es el principal determinante del rendimiento, ya que de ella depende la producción de potencia. Esta condición física está influenciada por la temperatura ambiental, la cual puede modificar la temperatura central del ciclista, modificando los diferentes procesos fisiológicos y por consiguiente, modificando el rendimiento del ciclista a la hora de producir potencia.
La exposición al calor provoca hipertermia, que afecta a diferentes marcadores fisiológicos, lo que produce que ante una misma carga externa aumente nuestra respuesta de carga interna (aumento de percepción de esfuerzo, de temperatura corporal, etc) con respecto a una temperatura templada.
Por el contrario, aunque las temperaturas bajas han sido menos estudiadas, hay evidencia de que las temperaturas excesivamente bajas también afectan negativamente al rendimiento respecto a temperaturas templadas. Algunos de estos efectos son la reducción de la temperatura corporal, reducción de la temperatura cutánea, menos gasto cardíaco, menor flujo de sangre muscular.
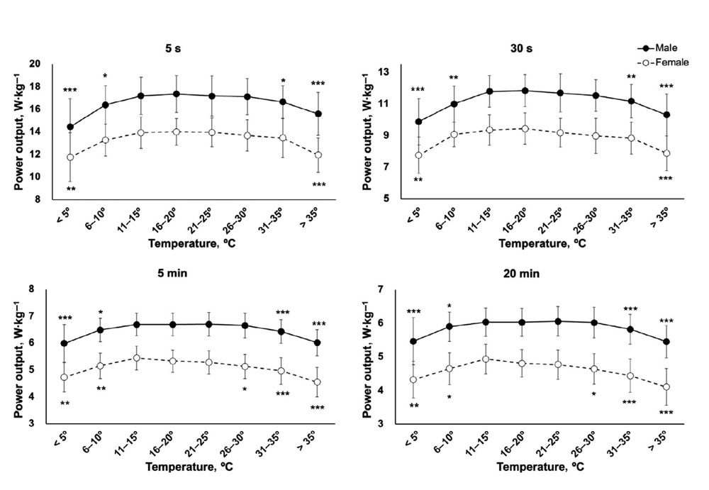
Aunque la mayoría de estudios están realizados en contextos controlados en laboratorio, la gran utilidad de los potenciómetros ha permitido realizar novedosos estudios al aire libre en contextos reales de competición, basándose en los récords de potencia de diferentes duraciones (5 segundos, 30 segundos, 5 minutos y 20 minutos) y a diferentes temperaturas. Tras estos estudios, se ha comprobado que tanto temperaturas excesivamente altas como excesivamente bajas influyen negativamente en el rendimiento, teniendo como resultado una forma de U invertida, donde los mejores resultados se obtienen en temperaturas templadas entre 10 y 25 grados (de 10 a 30 grados en hombres y de 5 a 25 grados en mujeres).
Esta información nos puede ayudar a interpretar los datos desde una perspectiva más objetiva y a poder afrontar las carreras con diferentes estrategias de hidratación, aclimatación, vestimenta, etc.
Bibliografía
Valenzuela, P. L., Mateo-March, M., Zabala, M., Muriel, X., Lucia, A., Barranco-Gil, D., &Pallarés, J. G. (2022). AmbientTemperature and Field-BasedCycling Performance: InsightsFromMale and Female Professional Cyclists. International journal of sportsphysiology and performance, 1–5. Advance online publication. https://doi.org/10.1123/ijspp.2021-0508
Tatterson, A. J., Hahn, A. G., Martin, D. T., &Febbraio, M. A. (2000). Effects of heat stress onphysiological responses and exercise performance in elite cyclists. Journal of science and medicine in sport, 3(2), 186–193. https://doi.org/10.1016/s1440-2440(00)80080-8
Peiffer, J. J., &Abbiss, C. R. (2011). Influence of environmentaltemperatureon 40 km cycling time-trial performance. International journal of sportsphysiology and performance, 6(2), 208–220. https://doi.org/10.1123/ijspp.6.2.208
Ciclo21 Portal de ciclismo

